最大流

网络流基本概念参见 网络流简介

概述

我们有一张图,要求从源点流向汇点的最大流量(可以有很多条路到达汇点),就是我们的最大流问题。

Ford-Fulkerson 增广路算法

该方法通过寻找增广路来更新最大流,有 EK,dinic,SAP,ISAP 主流算法。

求解最大流之前,我们先认识一些概念。

残量网络

首先我们介绍一下一条边的剩余容量 c_f(u,v) (Residual Capacity),它表示的是这条边的容量与流量之差,即 c_f(u,v)=c(u,v)-f(u,v)

对于流函数 f ,残存网络 G_f (Residual Network)是网络 G 中所有结点 和剩余容量大于 0 的边构成的子图。形式化的定义,即 G_f=(V_f=V,E_f=\left\{(u,v)\in E,c_f(u,v)>0\right\})

注意,剩余容量大于 0 的边可能不在原图 G 中(根据容量、剩余容量的定义以及流函数的斜对称性得到)。可以理解为,残量网络中包括了那些还剩了流量空间的边构成的图,也包括虚边(即反向边)。

增广路

在原图 G 中若一条从源点到汇点的路径上所有边的 剩余容量都大于 0,这条路被称为增广路(Augmenting Path)。

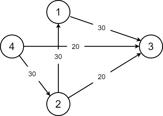
或者说,在残存网络 G_f 中,一条从源点到汇点的路径被称为增广路。如图:

flow

我们从 4 3 ,肯定可以先从流量为 20 的这条边先走。那么这条边就被走掉了,不能再选,总的流量为 20 (现在)。然后我们可以这样选择:

  1. 4\rightarrow2\rightarrow3 这条 增广路 的总流量为 20 。到 2 的时候还是 30 ,到 3 了就只有 20 了。

  2. 4\rightarrow2\rightarrow1\rightarrow3 这样子我们就很好的保留了 30 的流量。

所以我们这张图的最大流就应该是 20+30=50

求最大流是很简单的,接下来讲解求最大流的 3 种方法。

Edmonds-Karp 动能算法(EK 算法)

这个算法很简单,就是 BFS 找增广路,然后对其进行 增广。你可能会问,怎么找?怎么增广?

  1. 找?我们就从源点一直 BFS 走来走去,碰到汇点就停,然后增广(每一条路都要增广)。我们在 BFS 的时候就注意一下流量合不合法就可以了。

  2. 增广?其实就是按照我们找的增广路在重新走一遍。走的时候把这条路的能够成的最大流量减一减,然后给答案加上最小流量就可以了。

再讲一下 反向边。增广的时候要注意建造反向边,原因是这条路不一定是最优的,这样子程序可以进行反悔。假如我们对这条路进行增广了,那么其中的每一条边的反向边的流量就是它的流量。

讲一下一些小细节。如果你是用邻接矩阵的话,反向边直接就是从 table[x,y] 变成 table[y,x] 。如果是常用的链式前向星,那么在加入边的时候就要先加入反向边。那么在用的时候呢,我们直接 i\operatorname{xor}1 就可以了 ( i 为边的编号)。为什么呢?相信大家都是知道 \operatorname{xor} 的,那么我们在加入正向边后加入反向边,就是靠近的,所以可以使用 \operatorname{xor} 。我们还要注意一开始的编号要设置为 tot=1 ,因为边要从编号 2 开始,这样子 \operatorname{xor} 对编号 2,3 的边才有效果。

EK 算法的时间复杂度为 O(nm^2) (其中 n 为点数, m 为边数)。效率还有很大提升空间。

参考代码
 1
 2
 3
 4
 5
 6
 7
 8
 9
10
11
12
13
14
15
16
17
18
19
20
21
22
23
24
25
26
27
28
29
30
31
32
33
34
35
36
37
38
39
40
41
42
43
44
45
46
47
48
49
50
51
52
53
54
55
56
57
58
59
60
61
#define maxn 250
#define INF 0x3f3f3f3f

struct Edge {
  int from, to, cap, flow;
  Edge(int u, int v, int c, int f) : from(u), to(v), cap(c), flow(f) {}
};

struct EK {
  int n, m;             // n:点数,m:边数
  vector<Edge> edges;   // edges:所有边的集合
  vector<int> G[maxn];  // G:点 x -> x 的所有边在 edges 中的下标
  int a[maxn], p[maxn];  // a:点 x -> BFS 过程中最近接近点 x 的边给它的最大流
                         // p:点 x -> BFS 过程中最近接近点 x 的边

  void init(int n) {
    for (int i = 0; i < n; i++) G[i].clear();
    edges.clear();
  }

  void AddEdge(int from, int to, int cap) {
    edges.push_back(Edge(from, to, cap, 0));
    edges.push_back(Edge(to, from, 0, 0));
    m = edges.size();
    G[from].push_back(m - 2);
    G[to].push_back(m - 1);
  }

  int Maxflow(int s, int t) {
    int flow = 0;
    for (;;) {
      memset(a, 0, sizeof(a));
      queue<int> Q;
      Q.push(s);
      a[s] = INF;
      while (!Q.empty()) {
        int x = Q.front();
        Q.pop();
        for (int i = 0; i < G[x].size(); i++) {  // 遍历以 x 作为起点的边
          Edge& e = edges[G[x][i]];
          if (!a[e.to] && e.cap > e.flow) {
            p[e.to] = G[x][i];  // G[x][i] 是最近接近点 e.to 的边
            a[e.to] =
                min(a[x], e.cap - e.flow);  // 最近接近点 e.to 的边赋给它的流
            Q.push(e.to);
          }
        }
        if (a[t]) break;  // 如果汇点接受到了流,就退出 BFS
      }
      if (!a[t])
        break;  // 如果汇点没有接受到流,说明源点和汇点不在同一个连通分量上
      for (int u = t; u != s;
           u = edges[p[u]].from) {  // 通过 u 追寻 BFS 过程中 s -> t 的路径
        edges[p[u]].flow += a[t];      // 增加路径上边的 flow 值
        edges[p[u] ^ 1].flow -= a[t];  // 减小反向路径的 flow 值
      }
      flow += a[t];
    }
    return flow;
  }
};

Dinic 算法

Dinic 算法 的过程是这样的:每次增广前,我们先用 BFS 来将图分层。设源点的层数为 0 ,那么一个点的层数便是它离源点的最近距离。

通过分层,我们可以干两件事情:

  1. 如果不存在到汇点的增广路(即汇点的层数不存在),我们即可停止增广。
  2. 确保我们找到的增广路是最短的。(原因见下文)

接下来是 DFS 找增广路的过程。

我们每次找增广路的时候,都只找比当前点层数多 1 的点进行增广(这样就可以确保我们找到的增广路是最短的)。

Dinic 算法有两个优化:

  1. 多路增广:每次找到一条增广路的时候,如果残余流量没有用完怎么办呢?我们可以利用残余部分流量,再找出一条增广路。这样就可以在一次 DFS 中找出多条增广路,大大提高了算法的效率。
  2. 当前弧优化:如果一条边已经被增广过,那么它就没有可能被增广第二次。那么,我们下一次进行增广的时候,就可以不必再走那些已经被增广过的边。

时间复杂度

设点数为 n ,边数为 m ,那么 Dinic 算法的时间复杂度(在应用上面两个优化的前提下)是 O(n^{2}m) ,在稀疏图上效率和 EK 算法相当,但在稠密图上效率要比 EK 算法高很多。

首先考虑单轮增广的过程。在应用了 当前弧优化 的前提下,对于每个点,我们维护下一条可以增广的边,而当前弧最多变化 m 次,从而单轮增广的最坏时间复杂度为 O(nm)

接下来我们证明,最多只需 n-1 轮增广即可得到最大流。

我们先回顾下 Dinic 的增广过程。对于每个点,Dinic 只会找比该点层数多 1 的点进行增广。

首先容易发现,对于图上的每个点,一轮增广后其层数一定不会减小。而对于汇点 t ,情况会特殊一些,其层数在一轮增广后一定增大。

对于后者,我们考虑用反证法证明。如果 t 的层数在一轮增广后不变,则意味着在上一次增广中,仍然存在着一条从 s t 的增广路,且该增广路上相邻两点间的层数差为 1 。这条增广路应该在上一次增广过程中就被增广了,这就出现了矛盾。

从而我们证明了汇点的层数在一轮增广后一定增大,即增广过程最多进行 n-1 次。

综上 Dinic 的最坏时间复杂度为 O(n^{2}m) 。事实上在一般的网络上,Dinic 算法往往达不到这个上界。

特别地,在求解二分图最大匹配问题时,Dinic 算法的时间复杂度是 O(m\sqrt{n}) 。接下来我们将给出证明。

首先我们来简单归纳下求解二分图最大匹配问题时,建立的网络的特点。我们发现这个网络中,所有边的流量均为 1 ,且除了源点和汇点外的所有点,都满足入边最多只有一条,或出边最多只有一条。我们称这样的网络为 单位网络

对于单位网络,一轮增广的时间复杂度为 O(m) ,因为每条边只会被考虑最多一次。

接下来我们试着求出增广轮数的上界。假设我们已经先完成了前 \sqrt{n} 轮增广,因为汇点的层数在每次增广后均严格增加,因此所有长度不超过 \sqrt{n} 的增广路都已经在之前的增广过程中被增广。设前 \sqrt{n} 轮增广后,网络的流量为 f ,而整个网络的最大流为 f' ,设两者间的差值 d=f'-f

因为网络上所有边的流量均为 1 ,所以我们还需要找到 d 条增广路才能找到网络最大流。又因为单位网络的特点,这些增广路不会在源点和汇点以外的点相交。因此这些增广路至少经过了 d\sqrt{n} 个点(每条增广路的长度至少为 \sqrt{n} ),且不能超过 n 个点。因此残量网络上最多还存在 \sqrt{n} 条增广路。也即最多还需增广 \sqrt{n} 轮。

综上,对于包含二分图最大匹配在内的单位网络,Dinic 算法可以在 O(m\sqrt{n}) 的时间内求出其最大流。

参考代码
 1
 2
 3
 4
 5
 6
 7
 8
 9
10
11
12
13
14
15
16
17
18
19
20
21
22
23
24
25
26
27
28
29
30
31
32
33
34
35
36
37
38
39
40
41
42
43
44
45
46
47
48
49
50
51
52
53
54
55
56
57
58
59
60
61
62
63
64
65
66
67
68
69
70
71
72
73
74
75
76
#define maxn 250
#define INF 0x3f3f3f3f

struct Edge {
  int from, to, cap, flow;
  Edge(int u, int v, int c, int f) : from(u), to(v), cap(c), flow(f) {}
};

struct Dinic {
  int n, m, s, t;
  vector<Edge> edges;
  vector<int> G[maxn];
  int d[maxn], cur[maxn];
  bool vis[maxn];

  void init(int n) {
    for (int i = 0; i < n; i++) G[i].clear();
    edges.clear();
  }

  void AddEdge(int from, int to, int cap) {
    edges.push_back(Edge(from, to, cap, 0));
    edges.push_back(Edge(to, from, 0, 0));
    m = edges.size();
    G[from].push_back(m - 2);
    G[to].push_back(m - 1);
  }

  bool BFS() {
    memset(vis, 0, sizeof(vis));
    queue<int> Q;
    Q.push(s);
    d[s] = 0;
    vis[s] = 1;
    while (!Q.empty()) {
      int x = Q.front();
      Q.pop();
      for (int i = 0; i < G[x].size(); i++) {
        Edge& e = edges[G[x][i]];
        if (!vis[e.to] && e.cap > e.flow) {
          vis[e.to] = 1;
          d[e.to] = d[x] + 1;
          Q.push(e.to);
        }
      }
    }
    return vis[t];
  }

  int DFS(int x, int a) {
    if (x == t || a == 0) return a;
    int flow = 0, f;
    for (int& i = cur[x]; i < G[x].size(); i++) {
      Edge& e = edges[G[x][i]];
      if (d[x] + 1 == d[e.to] && (f = DFS(e.to, min(a, e.cap - e.flow))) > 0) {
        e.flow += f;
        edges[G[x][i] ^ 1].flow -= f;
        flow += f;
        a -= f;
        if (a == 0) break;
      }
    }
    return flow;
  }

  int Maxflow(int s, int t) {
    this->s = s;
    this->t = t;
    int flow = 0;
    while (BFS()) {
      memset(cur, 0, sizeof(cur));
      flow += DFS(s, INF);
    }
    return flow;
  }
};

MPM 算法

MPM(Malhotra, Pramodh-Kumar and Maheshwari) 算法得到最大流的方式有两种:使用基于堆的优先队列,时间复杂度为 O(n^3\log n) ;常用 BFS 解法,时间复杂度为 O(n^3) 。注意,本章节只专注于分析更优也更简洁的 O(n^3) 算法。

MPM 算法的整体结构和 Dinic 算法类似,也是分阶段运行的。在每个阶段,在 G 的残量网络的分层网络中找到增广路。它与 Dinic 算法的主要区别在于寻找增广路的方式不同:MPM 算法中寻找增广路的部分的只花了 O(n^2) , 时间复杂度要优于 Dinic 算法。

MPM 算法需要考虑顶点而不是边的容量。在分层网络 L 中,如果定义点 v 的容量 p(v) 为其传入残量和传出残量的最小值,则有:

\begin{aligned} p_{in}(v) &= \sum\limits_{(u,v) \in L} (c(u, v) - f(u, v)) \\ p_{out}(v) &= \sum\limits_{(v,u) \in L} (c(v, u) - f(v, u)) \\ p(v) &= \min (p_{in}(v), p_{out}(v)) \end{aligned}

我们称节点 r 是参考节点当且仅当 p(r) = \min {p(v)} 。对于一个参考节点 r ,我们一定可以让经过 r 的流量增加 p(r) 以使其容量变为 0 。这是因为 L 是有向无环图且 L 中节点容量至少为 p(r) ,所以我们一定能找到一条从 s 经过 r 到达 t 的有向路径。那么我们让这条路上的边流量都增加 p(r) 即可。这条路即为这一阶段的增广路。寻找增广路可以用 BFS。增广完之后所有满流边都可以从 L 中删除,因为它们不会在此阶段后被使用。同样,所有与 s t 不同且没有出边或入边的节点都可以删除。

时间复杂度分析

MPM 算法的每个阶段都需要 O(V^2) ,因为最多有 V 次迭代(因为至少删除了所选的参考节点),并且在每次迭代中,我们删除除最多 V 之外经过的所有边。求和,我们得到 O(V^2+E)=O(V^2) 。由于阶段总数少于 V ,因此 MPM 算法的总运行时间为 O(V^3)

阶段总数小于 V 的证明

MPM 算法在少于 V 个阶段内结束。为了证明这一点,我们必须首先证明两个引理。

引理 1:每次迭代后,从 s 到每个点的距离不会减少,也就是说, level_{i+1}[v] \ge level_{i}[v]

证明:固定一个阶段 i 和点 v 。考虑 G_{i}^R 中从 s v 的任意最短路径 P P 的长度等于 level_{i}[v] 。注意 G_{i}^R 只能包含 G_{i}^R 的后向边和前向边。如果 P 没有 G_{i}^R 的后边,那么 level_{i+1}[v] \ge level_{i}[v] 。因为 P 也是 G_{i}^R 中的一条路径。现在,假设 P 至少有一个后向边且第一个这样的边是 (u,w) ,那么 level_{i+1}[u] \ge level_{i}[u] (因为第一种情况)。边 (u,w) 不属于 G_{i}^R ,因此 (u,w) 受到前一次迭代的增广路的影响。这意味着 level_{i}[u] = level_{i}[w]+1 。此外, level_{i+1}[w] = level_{i+1}[u]+1 。从这两个方程和 level_{i+1}[u] \ge level_{i}[u] 我们得到 level_{i+1}[w] \ge level_{i}[w]+2 。路径的剩余部分也可以使用相同思想。

引理 2 level_{i+1}[t] > level_{i}[t]

证明:从引理一我们得出, level_{i+1}[t] \ge level_{i}[t] 。假设 level_{i+1}[t] = level_{i}[t] ,注意 G_{i}^R 只能包含 G_{i}^R 的后向边和前向边。这意味着 G_{i}^R 中有一条最短路径未被增广路阻塞。这就形成了矛盾。

参考代码
  1
  2
  3
  4
  5
  6
  7
  8
  9
 10
 11
 12
 13
 14
 15
 16
 17
 18
 19
 20
 21
 22
 23
 24
 25
 26
 27
 28
 29
 30
 31
 32
 33
 34
 35
 36
 37
 38
 39
 40
 41
 42
 43
 44
 45
 46
 47
 48
 49
 50
 51
 52
 53
 54
 55
 56
 57
 58
 59
 60
 61
 62
 63
 64
 65
 66
 67
 68
 69
 70
 71
 72
 73
 74
 75
 76
 77
 78
 79
 80
 81
 82
 83
 84
 85
 86
 87
 88
 89
 90
 91
 92
 93
 94
 95
 96
 97
 98
 99
100
101
102
103
104
105
106
107
108
109
110
111
112
113
114
115
116
117
118
119
120
121
122
123
124
125
126
127
128
129
130
131
132
133
134
135
136
137
138
139
140
141
142
143
144
145
146
147
148
149
150
151
152
153
154
155
156
157
158
159
160
161
162
163
164
165
166
struct MPM {
  struct FlowEdge {
    int v, u;
    long long cap, flow;
    FlowEdge() {}
    FlowEdge(int _v, int _u, long long _cap, long long _flow)
        : v(_v), u(_u), cap(_cap), flow(_flow) {}
    FlowEdge(int _v, int _u, long long _cap)
        : v(_v), u(_u), cap(_cap), flow(0ll) {}
  };
  const long long flow_inf = 1e18;
  vector<FlowEdge> edges;
  vector<char> alive;
  vector<long long> pin, pout;
  vector<list<int> > in, out;
  vector<vector<int> > adj;
  vector<long long> ex;
  int n, m = 0;
  int s, t;
  vector<int> level;
  vector<int> q;
  int qh, qt;
  void resize(int _n) {
    n = _n;
    ex.resize(n);
    q.resize(n);
    pin.resize(n);
    pout.resize(n);
    adj.resize(n);
    level.resize(n);
    in.resize(n);
    out.resize(n);
  }
  MPM() {}
  MPM(int _n, int _s, int _t) {
    resize(_n);
    s = _s;
    t = _t;
  }
  void add_edge(int v, int u, long long cap) {
    edges.push_back(FlowEdge(v, u, cap));
    edges.push_back(FlowEdge(u, v, 0));
    adj[v].push_back(m);
    adj[u].push_back(m + 1);
    m += 2;
  }
  bool bfs() {
    while (qh < qt) {
      int v = q[qh++];
      for (int id : adj[v]) {
        if (edges[id].cap - edges[id].flow < 1) continue;
        if (level[edges[id].u] != -1) continue;
        level[edges[id].u] = level[v] + 1;
        q[qt++] = edges[id].u;
      }
    }
    return level[t] != -1;
  }
  long long pot(int v) { return min(pin[v], pout[v]); }
  void remove_node(int v) {
    for (int i : in[v]) {
      int u = edges[i].v;
      auto it = find(out[u].begin(), out[u].end(), i);
      out[u].erase(it);
      pout[u] -= edges[i].cap - edges[i].flow;
    }
    for (int i : out[v]) {
      int u = edges[i].u;
      auto it = find(in[u].begin(), in[u].end(), i);
      in[u].erase(it);
      pin[u] -= edges[i].cap - edges[i].flow;
    }
  }
  void push(int from, int to, long long f, bool forw) {
    qh = qt = 0;
    ex.assign(n, 0);
    ex[from] = f;
    q[qt++] = from;
    while (qh < qt) {
      int v = q[qh++];
      if (v == to) break;
      long long must = ex[v];
      auto it = forw ? out[v].begin() : in[v].begin();
      while (true) {
        int u = forw ? edges[*it].u : edges[*it].v;
        long long pushed = min(must, edges[*it].cap - edges[*it].flow);
        if (pushed == 0) break;
        if (forw) {
          pout[v] -= pushed;
          pin[u] -= pushed;
        } else {
          pin[v] -= pushed;
          pout[u] -= pushed;
        }
        if (ex[u] == 0) q[qt++] = u;
        ex[u] += pushed;
        edges[*it].flow += pushed;
        edges[(*it) ^ 1].flow -= pushed;
        must -= pushed;
        if (edges[*it].cap - edges[*it].flow == 0) {
          auto jt = it;
          ++jt;
          if (forw) {
            in[u].erase(find(in[u].begin(), in[u].end(), *it));
            out[v].erase(it);
          } else {
            out[u].erase(find(out[u].begin(), out[u].end(), *it));
            in[v].erase(it);
          }
          it = jt;
        } else
          break;
        if (!must) break;
      }
    }
  }
  long long flow() {
    long long ans = 0;
    while (true) {
      pin.assign(n, 0);
      pout.assign(n, 0);
      level.assign(n, -1);
      alive.assign(n, true);
      level[s] = 0;
      qh = 0;
      qt = 1;
      q[0] = s;
      if (!bfs()) break;
      for (int i = 0; i < n; i++) {
        out[i].clear();
        in[i].clear();
      }
      for (int i = 0; i < m; i++) {
        if (edges[i].cap - edges[i].flow == 0) continue;
        int v = edges[i].v, u = edges[i].u;
        if (level[v] + 1 == level[u] && (level[u] < level[t] || u == t)) {
          in[u].push_back(i);
          out[v].push_back(i);
          pin[u] += edges[i].cap - edges[i].flow;
          pout[v] += edges[i].cap - edges[i].flow;
        }
      }
      pin[s] = pout[t] = flow_inf;
      while (true) {
        int v = -1;
        for (int i = 0; i < n; i++) {
          if (!alive[i]) continue;
          if (v == -1 || pot(i) < pot(v)) v = i;
        }
        if (v == -1) break;
        if (pot(v) == 0) {
          alive[v] = false;
          remove_node(v);
          continue;
        }
        long long f = pot(v);
        ans += f;
        push(v, s, f, false);
        push(v, t, f, true);
        alive[v] = false;
        remove_node(v);
      }
    }
    return ans;
  }
};

ISAP

在 Dinic 算法中,我们每次求完增广路后都要跑 BFS 来分层,有没有更高效的方法呢?

答案就是下面要介绍的 ISAP 算法。

和 Dinic 算法一样,我们还是先跑 BFS 对图上的点进行分层,不过与 Dinic 略有不同的是,我们选择在反图上,从 t 点向 s 点进行 BFS。

执行完分层过程后,我们通过 DFS 来找增广路。

增广的过程和 Dinic 类似,我们只选择比当前点层数少 1 的点来增广。

与 Dinic 不同的是,我们并不会重跑 BFS 来对图上的点重新分层,而是在增广的过程中就完成重分层过程。

具体来说,设 i 号点的层为 d_i ,当我们结束在 i 号点的增广过程后,我们遍历残量网络上 i 的所有出边,找到层最小的出点 j ,随后令 d_i=d_j+1 。特别地,若残量网络上 i 无出边,则 d_i=n

容易发现,当 d_s \geq n 时,图上不存在增广路,此时即可终止算法。

和 Dinic 类似,ISAP 中也存在 当前弧优化

而 ISAP 还存在另外一个优化,我们记录层数为 i 的点的数量 num_i ,每当将一个点的层数从 x 更新到 y 时,同时更新 num 数组的值,若在更新后 num_x=0 ,则意味着图上出现了断层,无法再找到增广路,此时可以直接终止算法(实现时直接将 d_s 标为 n ),该优化被称为 GAP 优化

参考代码
  1
  2
  3
  4
  5
  6
  7
  8
  9
 10
 11
 12
 13
 14
 15
 16
 17
 18
 19
 20
 21
 22
 23
 24
 25
 26
 27
 28
 29
 30
 31
 32
 33
 34
 35
 36
 37
 38
 39
 40
 41
 42
 43
 44
 45
 46
 47
 48
 49
 50
 51
 52
 53
 54
 55
 56
 57
 58
 59
 60
 61
 62
 63
 64
 65
 66
 67
 68
 69
 70
 71
 72
 73
 74
 75
 76
 77
 78
 79
 80
 81
 82
 83
 84
 85
 86
 87
 88
 89
 90
 91
 92
 93
 94
 95
 96
 97
 98
 99
100
101
102
103
104
105
106
107
108
109
110
struct Edge {
  int from, to, cap, flow;
  Edge(int u, int v, int c, int f) : from(u), to(v), cap(c), flow(f) {}
};

bool operator<(const Edge& a, const Edge& b) {
  return a.from < b.from || (a.from == b.from && a.to < b.to);
}

struct ISAP {
  int n, m, s, t;
  vector<Edge> edges;
  vector<int> G[maxn];
  bool vis[maxn];
  int d[maxn];
  int cur[maxn];
  int p[maxn];
  int num[maxn];

  void AddEdge(int from, int to, int cap) {
    edges.push_back(Edge(from, to, cap, 0));
    edges.push_back(Edge(to, from, 0, 0));
    m = edges.size();
    G[from].push_back(m - 2);
    G[to].push_back(m - 1);
  }

  bool BFS() {
    memset(vis, 0, sizeof(vis));
    queue<int> Q;
    Q.push(t);
    vis[t] = 1;
    d[t] = 0;
    while (!Q.empty()) {
      int x = Q.front();
      Q.pop();
      for (int i = 0; i < G[x].size(); i++) {
        Edge& e = edges[G[x][i] ^ 1];
        if (!vis[e.from] && e.cap > e.flow) {
          vis[e.from] = 1;
          d[e.from] = d[x] + 1;
          Q.push(e.from);
        }
      }
    }
    return vis[s];
  }

  void init(int n) {
    this->n = n;
    for (int i = 0; i < n; i++) G[i].clear();
    edges.clear();
  }

  int Augment() {
    int x = t, a = INF;
    while (x != s) {
      Edge& e = edges[p[x]];
      a = min(a, e.cap - e.flow);
      x = edges[p[x]].from;
    }
    x = t;
    while (x != s) {
      edges[p[x]].flow += a;
      edges[p[x] ^ 1].flow -= a;
      x = edges[p[x]].from;
    }
    return a;
  }

  int Maxflow(int s, int t) {
    this->s = s;
    this->t = t;
    int flow = 0;
    BFS();
    memset(num, 0, sizeof(num));
    for (int i = 0; i < n; i++) num[d[i]]++;
    int x = s;
    memset(cur, 0, sizeof(cur));
    while (d[s] < n) {
      if (x == t) {
        flow += Augment();
        x = s;
      }
      int ok = 0;
      for (int i = cur[x]; i < G[x].size(); i++) {
        Edge& e = edges[G[x][i]];
        if (e.cap > e.flow && d[x] == d[e.to] + 1) {
          ok = 1;
          p[e.to] = G[x][i];
          cur[x] = i;
          x = e.to;
          break;
        }
      }
      if (!ok) {
        int m = n - 1;
        for (int i = 0; i < G[x].size(); i++) {
          Edge& e = edges[G[x][i]];
          if (e.cap > e.flow) m = min(m, d[e.to]);
        }
        if (--num[d[x]] == 0) break;
        num[d[x] = m + 1]++;
        cur[x] = 0;
        if (x != s) x = edges[p[x]].from;
      }
    }
    return flow;
  }
};

Push-Relabel 预流推进算法

该方法在求解过程中忽略流守恒性,并每次对一个结点更新信息,以求解最大流。

通用的预流推进算法

首先我们介绍预流推进算法的主要思想,以及一个可行的暴力实现算法。

预流推进算法通过对单个结点的更新操作,直到没有结点需要更新来求解最大流。

算法过程维护的流函数不一定保持流守恒性,对于一个结点,我们允许进入结点的流超过流出结点的流,超过的部分被称为结点 u(u\in V-\{s,t\}) 超额流 e(u)

e(u)=\sum_{(x,u)\in E}f(x,u)-\sum_{(u,y)\in E}f(u,y)

e(u)>0 ,称结点 u 溢出4,注意当我们提到溢出结点时,并不包括 s t

预流推进算法维护每个结点的高度 h(u) ,并且规定溢出的结点 u 如果要推送超额流,只能向高度小于 u 的结点推送;如果 u 没有相邻的高度小于 u 的结点,就修改 u 的高度(重贴标签)。

高度函数5

准确地说,预流推进维护以下的一个映射 h:V\to \mathbf{N}

  • h(s)=|V|,h(t)=0
  • \forall (u,v)\in E_f,h(u)\leq h(v)+1

h 是残存网络 G_f=(V_f,E_f) 的高度函数。

引理 1:设 G_f 上的高度函数为 h ,对于任意两个结点 u,v\in V ,如果 h(u)>h(v)+1 ,则 (u,v) 不是 G_f 中的边。

算法只会在 h(u)=h(v)+1 的边执行推送。

推送(Push)

适用条件:结点 u 溢出,且存在结点 v((u,v)\in E_f,c(u,v)-f(u,v)>0,h(u)=h(v)+1) ,则 push 操作适用于 (u,v)

于是,我们尽可能将超额流从 u 推送到 v ,推送过程中我们只关心超额流和 c(u,v)-f(u,v) 的最小值,不关心 v 是否溢出。

如果 (u,v) 在推送完之后满流,将其从残存网络中删除。

重贴标签(Relabel)

适用条件:如果结点 u 溢出,且 \forall (u,v)\in E_f,h(u)\leq h(v) ,则 relabel 操作适用于 u

则将 h(u) 更新为 min_{(u,v)\in E_f}h(v)+1 即可。

初始化

\begin{aligned} \forall (u,v)\in E,&f(u,v)=\left\{\begin{aligned} &c(u,v)&,u=s\\ &0&,u\neq s\\ \end{aligned}\right. \\ \forall u\in V,&h(u)=\left\{\begin{aligned} &|V|&,u=s\\ &0&,u\neq s\\ \end{aligned}\right. ,e(u)=\sum_{(x,u)\in E}f(x,u)-\sum_{(u,y)\in E}f(u,y) \end{aligned}

上述将 (s,v)\in E 充满流,并将 h(s) 抬高,使得 (s,v)\notin E_f ,因为 h(s)>h(v) ,而且 (s,v) 毕竟满流,没必要留在残存网络中;上述还将 e(s) 初始化为 \sum_{(s,v)\in E}f(s,v) 的相反数。

通用算法

我们每次扫描整个图,只要存在结点 u 满足 push 或 relabel 操作的条件,就执行对应的操作。

如图,每个结点中间表示编号,左下表示高度值 h(u) ,右下表示超额流 e(u) ,结点颜色的深度也表示结点的高度;边权表示 c(u,v)-f(u,v) ,绿色的边表示满足 h(u)=h(v)+1 的边 (u,v) (即残存网络的边 E_f ):

p1

整个算法我们大致浏览一下过程,这里笔者使用的是一个暴力算法,即暴力扫描是否有溢出的结点,有就更新

p2

最后的结果

p3

可以发现,最后的超额流一部分回到了 s ,且除了源点汇点,其他结点都没有溢出;这时的流函数 f 满足流守恒性,为最大流,流量即为 e(t)

但是实际上论文1指出只处理高度小于 n 的溢出节点也能获得正确的最大流值,不过这样一来算法结束的时候预流还不满足流函数性质,不能知道每条边上真实的流量。

核心代码
 1
 2
 3
 4
 5
 6
 7
 8
 9
10
11
12
13
14
15
16
17
18
19
20
21
22
const int N = 1e4 + 4, M = 1e5 + 5, INF = 0x3f3f3f3f;
int n, m, s, t, maxflow, tot;
int ht[N], ex[N];
void init() {  // 初始化
  for (int i = h[s]; i; i = e[i].nex) {
    const int &v = e[i].t;
    ex[v] = e[i].v, ex[s] -= ex[v], e[i ^ 1].v = e[i].v, e[i].v = 0;
  }
  ht[s] = n;
}
bool push(int ed) {
  const int &u = e[ed ^ 1].t, &v = e[ed].t;
  int flow = min(ex[u], e[ed].v);
  ex[u] -= flow, ex[v] += flow, e[ed].v -= flow, e[ed ^ 1].v += flow;
  return ex[u];  // 如果 u 仍溢出,返回 1
}
void relabel(int u) {
  ht[u] = INF;
  for (int i = h[u]; i; i = e[i].nex)
    if (e[i].v) ht[u] = min(ht[u], ht[e[i].t]);
  ++ht[u];
}

HLPP 算法

最高标号预流推进算法(Highest Label Preflow Push)在上述通用的预流推送算法中,在每次选择结点时,都优先选择高度最高的溢出结点,其算法算法复杂度为 O(n^2\sqrt m)

具体地说,HLPP 算法过程如下:

  1. 初始化(基于预流推进算法);
  2. 选择溢出结点中高度最高的结点 u ,并对它所有可以推送的边进行推送;
  3. 如果 u 仍溢出,对它重贴标签,回到步骤 2;
  4. 如果没有溢出的结点,算法结束。

一篇对最大流算法实际表现进行测试的论文2表明,实际上基于预流的算法,有相当一部分时间都花在了重贴标签这一步上。以下介绍两种来自论文3的能显著减少重贴标签次数的优化。

BFS 优化

HLPP 的上界为 O(n^2\sqrt m) ,但在使用时卡得比较紧;我们可以在初始化高度的时候进行优化。具体来说,我们初始化 h(u) u t 的最短距离;特别地, h(s)=n

在 BFS 的同时我们顺便检查图的连通性,排除无解的情况。

GAP 优化

HLPP 推送的条件是 h(u)=h(v)+1 ,而如果在算法的某一时刻, h(u)=t 的结点个数为 0 ,那么对于 h(u)>t 的结点就永远无法推送超额流到 t ,因此只能送回 s ,那么我们就在这时直接让他们的高度变成至少 n+1 ,以尽快推送回 s ,减少重贴标签的操作。

以下的实现采取论文2中的实现方法,使用 N*2-1 个桶 B,其中 B[i] 中记录所有当前高度为 i 的溢出节点。加入了以上提到的两种优化,并且只处理了高度小于 n 的溢出节点。

值得注意的是论文2中使用的桶是基于链表的栈,而 STL 中的 stack 默认的容器是 deque。经过简单的测试发现 vectordequelist 在本题的实际运行过程中效率区别不大。

LuoguP4722【模板】最大流 加强版/预流推进
 1
 2
 3
 4
 5
 6
 7
 8
 9
10
11
12
13
14
15
16
17
18
19
20
21
22
23
24
25
26
27
28
29
30
31
32
33
34
35
36
37
38
39
40
41
42
43
44
45
46
47
48
49
50
51
52
53
54
55
56
57
58
59
60
61
62
63
64
65
66
67
68
69
70
71
72
73
74
75
76
77
78
79
80
81
82
83
84
85
86
87
88
89
90
91
92
93
94
#include <cstdio>
#include <cstring>
#include <queue>
#include <stack>
using namespace std;
const int N = 1200, M = 120000, INF = 0x3f3f3f3f;
int n, m, s, t;

struct qxx {
  int nex, t, v;
};
qxx e[M * 2 + 1];
int h[N + 1], cnt = 1;
void add_path(int f, int t, int v) { e[++cnt] = (qxx){h[f], t, v}, h[f] = cnt; }
void add_flow(int f, int t, int v) {
  add_path(f, t, v);
  add_path(t, f, 0);
}
int ht[N + 1], ex[N + 1],
    gap[N];  // 高度; 超额流; gap 优化 gap[i] 为高度为 i 的节点的数量
stack<int> B[N];       // 桶 B[i] 中记录所有 ht[v]==i 的v
int level = 0;         // 溢出节点的最高高度
int push(int u) {      // 尽可能通过能够推送的边推送超额流
  bool init = u == s;  // 是否在初始化
  for (int i = h[u]; i; i = e[i].nex) {
    const int &v = e[i].t, &w = e[i].v;
    if (!w || init == false && ht[u] != ht[v] + 1)  // 初始化时不考虑高度差为1
      continue;
    int k = init ? w : min(w, ex[u]);
    // 取到剩余容量和超额流的最小值,初始化时可以使源的溢出量为负数。
    if (v != s && v != t && !ex[v]) B[ht[v]].push(v), level = max(level, ht[v]);
    ex[u] -= k, ex[v] += k, e[i].v -= k, e[i ^ 1].v += k;  // push
    if (!ex[u]) return 0;  // 如果已经推送完就返回
  }
  return 1;
}
void relabel(int u) {  // 重贴标签(高度)
  ht[u] = INF;
  for (int i = h[u]; i; i = e[i].nex)
    if (e[i].v) ht[u] = min(ht[u], ht[e[i].t]);
  if (++ht[u] < n) {  // 只处理高度小于 n 的节点
    B[ht[u]].push(u);
    level = max(level, ht[u]);
    ++gap[ht[u]];  // 新的高度,更新 gap
  }
}
bool bfs_init() {
  memset(ht, 0x3f, sizeof(ht));
  queue<int> q;
  q.push(t), ht[t] = 0;
  while (q.size()) {  // 反向 BFS, 遇到没有访问过的结点就入队
    int u = q.front();
    q.pop();
    for (int i = h[u]; i; i = e[i].nex) {
      const int &v = e[i].t;
      if (e[i ^ 1].v && ht[v] > ht[u] + 1) ht[v] = ht[u] + 1, q.push(v);
    }
  }
  return ht[s] != INF;  // 如果图不连通,返回 0
}
// 选出当前高度最大的节点之一, 如果已经没有溢出节点返回 0
int select() {
  while (B[level].size() == 0 && level > -1) level--;
  return level == -1 ? 0 : B[level].top();
}
int hlpp() {                  // 返回最大流
  if (!bfs_init()) return 0;  // 图不连通
  memset(gap, 0, sizeof(gap));
  for (int i = 1; i <= n; i++)
    if (ht[i] != INF) gap[ht[i]]++;  // 初始化 gap
  ht[s] = n;
  push(s);  // 初始化预流
  int u;
  while ((u = select())) {
    B[level].pop();
    if (push(u)) {  // 仍然溢出
      if (!--gap[ht[u]])
        for (int i = 1; i <= n; i++)
          if (i != s && i != t && ht[i] > ht[u] && ht[i] < n + 1)
            ht[i] = n + 1;  // 这里重贴成 n+1 的节点都不是溢出节点
      relabel(u);
    }
  }
  return ex[t];
}
int main() {
  scanf("%d%d%d%d", &n, &m, &s, &t);
  for (int i = 1, u, v, w; i <= m; i++) {
    scanf("%d%d%d", &u, &v, &w);
    add_flow(u, v, w);
  }
  printf("%d", hlpp());
  return 0;
}

感受一下运行过程

HLPP

其中 pic13 到 pic14 执行了 Relabel(4),并进行了 GAP 优化。

脚注


  1. Cherkassky B V, Goldberg A V. On implementing push-relabel method for the maximum flow problem[C]//International Conference on Integer Programming and Combinatorial Optimization. Springer, Berlin, Heidelberg, 1995: 157-171. 

  2. Ahuja R K, Kodialam M, Mishra A K, et al. Computational investigations of maximum flow algorithms[J]. European Journal of Operational Research, 1997, 97(3): 509-542. 

  3. Derigs U, Meier W. Implementing Goldberg's max-flow-algorithm—A computational investigation[J]. Zeitschrift für Operations Research, 1989, 33(6): 383-403. 

  4. 英语文献中通常称为“active“。 

  5. 在英语文献中,一个结点的高度通常被称为“distance label”。此处使用的“高度”这个术语源自算法导论中的相关章节。你可以在机械工业出版社算法导论(原书第 3 版)的 P432 脚注中找到这么做的理由。 


评论